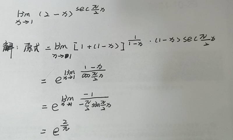
2024-11-01 考研上岸搭子 2 评论 0 喜欢 分享 玩偶DIY 💙🤖 这个人很懒,还没有简介 查看TA的全部内容 +关注 一直学霸 去发现更多有趣内容 微信扫码打开一直学霸小程序 体验更多「一直学霸」新功能 评论 2 yanshuiya 2024-11-01 0 洛必达法则,上下求导 anncore 2024-11-01 0 洛必达嘛 我也来讲两句
yanshuiya
2024-11-01
洛必达法则,上下求导