2024-11-05
虫儿大
2024-11-05
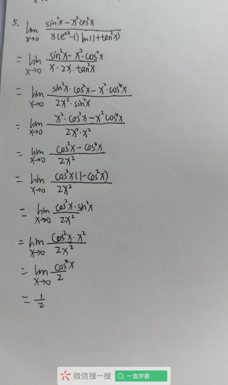
第四行分子不能等价代换
作者 神无幻
2024-11-05
虫儿大
2024-11-05
神无幻
:作者 神无幻
2024-11-06
作者 神无幻
2024-11-05
胖次天上飞
2024-11-05
神无幻
:作者 神无幻
2024-11-06
胖次天上飞
:骑士之魂
2024-11-05
加油
ambassadornet
2024-11-06
加减等价后相比极限得存在且等价后加减不为零
作者 神无幻
2024-11-06
胖次天上飞
2024-11-06
第二个等号到第三和等号,sin²不能直接变 x²
作者 神无幻
2024-11-06
胖次天上飞
2024-11-06
神无幻
:作者 神无幻
2024-11-06
YZ老火鸡
2024-11-06
等价无穷小加减不能随便换满足条件才能😉
作者 神无幻
2024-11-06
YZ老火鸡
2024-11-06
神无幻
:作者 神无幻
2024-11-06
罗玉缝
2024-11-06
第三个等好分子那个地方sinx的平方不能直接等价成x方。等价无穷小精度不够(直接等价把后面的x^4项舍去了,但是分母有,会导致你算错)。这地方你可以试着把sinx泰勒展开到x^3项,然后两个相乘,你会发现出来了x^4项,但是等价无穷小只有x^2项。错就错在这里。等价无穷小分母你可以随便等价,没问题的,分子不行,会把o(x^2)的高阶无穷小舍去,这会导致误差。除非你的分母只有x^1。那你等价无穷小就可以随便换来
作者 神无幻
2024-11-06
pc
2024-11-05
第四步sinx的平方不能换
作者 神无幻
2024-11-05
胖次天上飞
2024-11-05
神无幻
:pc
2024-11-05
神无幻
: