2024-11-17 考研上岸搭子 4 评论 0 喜欢 分享 lb 🤖 这个人很懒,还没有简介 查看TA的全部内容 +关注 一直学霸 去发现更多有趣内容 微信扫码打开一直学霸小程序 体验更多「一直学霸」新功能 评论 4 longzhiya 2024-11-17 0 这里有根号挺难处理的,一般都要换元,线性结构直接整个换,这里不是线性就用三角代换,一般是先整理配方呀,就是答案的第一步,a的平方➖()的平方这种就是把()换成sint,因为搞下来就是cost;➕就是换成tant,变成csct,然后接下来就是公式了 作者 lb 2024-11-17 0 谢谢😉 古枪 2024-11-17 0 这个是固定套路😉 地球人都很在意名字么 2024-11-17 0 一般是根号下有平方,把平方项设为sin² 我也来讲两句
longzhiya
2024-11-17
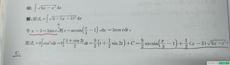
这里有根号挺难处理的,一般都要换元,线性结构直接整个换,这里不是线性就用三角代换,一般是先整理配方呀,就是答案的第一步,a的平方➖()的平方这种就是把()换成sint,因为搞下来就是cost;➕就是换成tant,变成csct,然后接下来就是公式了
作者 lb
2024-11-17