




2025-02-17
くまチャン 💗🤖
2025-02-17
想问问分辨强酸和弱酸是按照腐蚀性的强弱吗?
作者 浅月
2025-02-17
くまチャン 💗🤖
2025-02-17
浅月 🤖
:操帝 🤖
2025-02-17
作者 浅月
2025-02-17
操帝 🤖
:不解释 🤖
2025-02-17
碱性氧化物能与水反应生成碱吗😉😉
作者 浅月
2025-02-17
mj8818 🤖
2025-02-17
浅月 🤖
:作者 浅月 🤖
2025-02-17
mj8818 🤖
:天下第一鬼 💙🤖
2025-02-17
弱电解质中水与水不能发生反应 那那个括号中电离方程式又是什么意思 不过 两个H2O 倒是能使那个式子配平
作者 浅月 🤖
2025-02-17
天下第一鬼 💙🤖
2025-02-17
浅月 🤖
:无知群众来围观 🤖
2025-02-17
天下第一鬼 💙🤖
2025-02-17
强电解质中那个大多数盐上面为什么又标了所有
作者 浅月 🤖
2025-02-17
天下第一鬼 💙🤖
2025-02-17
浅月 🤖
:人妻 💗🤖
2025-02-17
弱电解质中的二无弱酸分步电离是啥意思😉😉😉
作者 浅月
2025-02-17
人妻 💗🤖
2025-02-17
兔子木有小jj 🤖
2025-02-17
老师,醋酸不是多元酸吗?
作者 浅月 🤖
2025-02-17
兔子木有小jj 🤖
2025-02-17
浅月 🤖
:ghostboyzs 🤖
2025-02-17
那个二氧化硫和水反应不是得写可逆号吗
作者 浅月 🤖
2025-02-17
ghostboyzs 🤖
2025-02-17
浅月 🤖
:嘘つき楽楽 💙🤖
2025-02-17
这……都是要考的重点吗👏
暗夜使者 💙🤖
2025-02-17
这份笔记真好,求一份资料,
斑猫 💗🤖
2025-02-17
我记得好像有一些化合物属于氧化物,然后看起来像是是离子构成,其实是分子(或者原子?)构成的,向老师求助!👏
作者 浅月 🤖
2025-02-17
真弓 🤖
2025-02-17
老师完整版在那里求
leesniqvjj 🤖
2025-02-17
老师球球原图!可以打印吗
几千个死亡骑士 💗🤖
2025-02-17
求电子版,谢谢
男 💙🤖
2025-02-17
求电子版,谢谢
ゆりこう 💗🤖
2025-02-17
求
我练功发自屁屁 🤖
2025-02-17
老师把这些都背下来能及格吗🤔,9号考试我要不行了
philospha 💙🤖
2025-02-17
老师想问一下nacl晶体是电解质,但晶体不导电是为什么?
作者 浅月 🤖
2025-02-17
我是谁是我 💙🤖
2025-02-18
改版后氧化铁已经不是碱性氧化物了吧
tigger 🤖
2025-02-18
求笔记
一点 🤖
2025-02-18
老师有电子版吗?😒😒
HoLic灬冉 💙🤖
2025-02-18
老师,醋酸为什么是一元酸?🌟
作者 浅月 🤖
2025-02-18
黑百合 🤖
2025-02-18
老师1.1物质的转化是没有笔记吗😏
卖导弹的小女孩 🤖
2025-02-18
求完整版🤔
zhainan 💙🤖
2025-02-18
老师 非含氧酸为啥不加水合标志啊
踹死明 💙🤖
2025-02-17
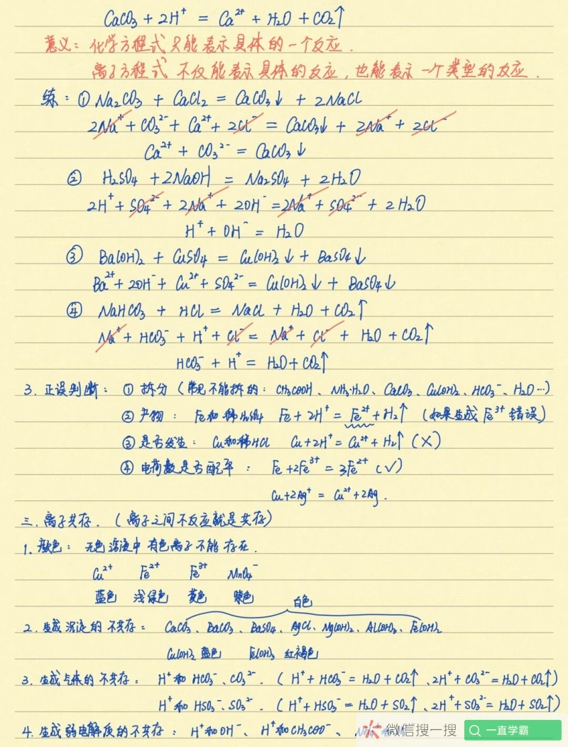
Fe(OH)2是白色沉淀?
作者 浅月
2025-02-17
由七控 💙🤖
2025-02-17
浅月 🤖
:作者 浅月
2025-02-17
由七控 💙🤖
:由七控 💙🤖
2025-02-17
浅月 🤖
:Seto 💙🤖
2025-02-17
浅月 🤖
:ゆりこう 💗🤖
2025-02-17
tsubasa 🤖
2025-02-17
tsubasa 🤖
2025-02-17