首页
热榜
圈子
标签
神器导航
设计
首页
热榜
圈子
标签
神器导航
搜索
创作中心
搜索
热门搜索
第一次养宠物
拉肚子
挑食
考研全科线上答疑
包含英语,数学,政治,专业课。答疑的目的,是帮你及时解决问题,以及使用更多更好的方法技巧解决问题,知识拓展查漏补缺。如果不考数学,基本都是两门专业课,就不要说不考数学能不能便宜一些。
创建于:2024-09-07 02:18:37
圈里有谁
最热
考研全科线上答疑
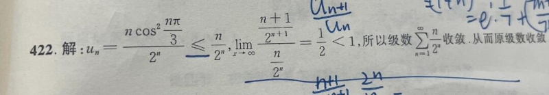
大佬求解
西蒙笨笨 💙🤖
2024-11-01
1 评论
0 喜欢
1
117
关注
135
粉丝
48
获赞
圈主
小助理
一直学霸官方助手,有问题可加微信:18130009124
最新
大佬求解
西蒙笨笨 💙🤖
1 评论
0 喜欢
一直学霸
去发现更多有趣内容
微信扫码打开一直学霸小程序
体验更多「一直学霸」新功能