首页
热榜
圈子
标签
神器导航
设计
首页
热榜
圈子
标签
神器导航
搜索
创作中心
搜索
热门搜索
第一次养宠物
拉肚子
挑食
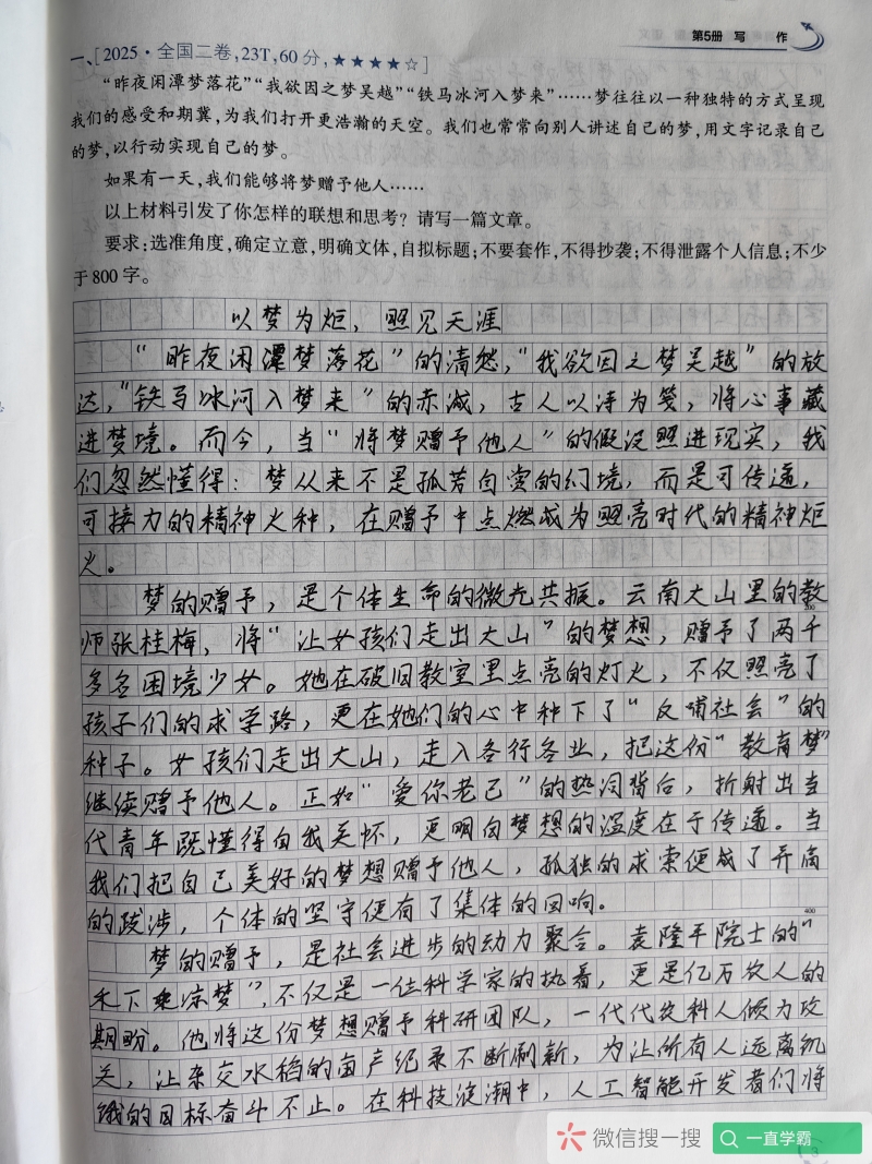
高中语文作文精批半年
逐词逐句精细批改,不规范表达改进,详细分数分析,500字以上写作指导,全文改进
创建于:2024-09-08 02:51:14
圈里有谁
最热
高中语文作文精批半年
请老师批改谢谢
学霸喵_85
2天前
0 评论
0 喜欢
高中语文作文精批半年
请老师批改谢谢
学霸喵_85
03-02 15:25
1 评论
0 喜欢
高中语文作文精批半年
麻烦老师批改谢谢
学霸喵_85
2026-02-26
1 评论
0 喜欢
高中语文作文精批半年
请老师批改谢谢
学霸喵_85
2026-02-26
1 评论
0 喜欢
高中语文作文精批半年
如下
琪琪
2026-02-22
1 评论
0 喜欢
1
2
3
4
16
关注
78
粉丝
18
获赞
圈主
小白精批
一直学霸官方客服
最新
请老师批改谢谢
学霸喵_85
0 评论
0 喜欢
请老师批改谢谢
学霸喵_85
1 评论
0 喜欢
麻烦老师批改谢谢
学霸喵_85
1 评论
0 喜欢
请老师批改谢谢
学霸喵_85
1 评论
0 喜欢
如下
琪琪
1 评论
0 喜欢
一直学霸
去发现更多有趣内容
微信扫码打开一直学霸小程序
体验更多「一直学霸」新功能